Copper Carbonate Formula By Criss Cross Method . This video is designed for. In this video, we delve into. an alternative way to writing a correct formula for an ionic compound is to use the crisscross method.
from slsi.lk
In this video, we delve into. This video is designed for. an alternative way to writing a correct formula for an ionic compound is to use the crisscross method.
slsi.lk how long for sulfatrim to work Something calcium carbonate
Copper Carbonate Formula By Criss Cross Method This video is designed for. In this video, we delve into. This video is designed for. an alternative way to writing a correct formula for an ionic compound is to use the crisscross method.
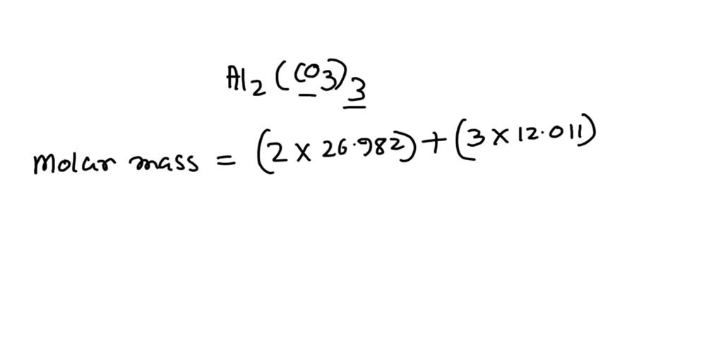
From www.numerade.com
SOLVED How to find the molecular formula of aluminium carbonate using Copper Carbonate Formula By Criss Cross Method an alternative way to writing a correct formula for an ionic compound is to use the crisscross method. This video is designed for. In this video, we delve into. Copper Carbonate Formula By Criss Cross Method.
From finwise.edu.vn
Collection 102+ Pictures Sodium Hydroxide And Copper(ii) Nitrate Full Copper Carbonate Formula By Criss Cross Method In this video, we delve into. an alternative way to writing a correct formula for an ionic compound is to use the crisscross method. This video is designed for. Copper Carbonate Formula By Criss Cross Method.
From brainly.in
write the chemical formula of the sodium carbonate using Criss cross Copper Carbonate Formula By Criss Cross Method This video is designed for. In this video, we delve into. an alternative way to writing a correct formula for an ionic compound is to use the crisscross method. Copper Carbonate Formula By Criss Cross Method.
From brainly.in
How to find the chemical formulae of Calcium Hydrogen Carbonate by the Copper Carbonate Formula By Criss Cross Method In this video, we delve into. an alternative way to writing a correct formula for an ionic compound is to use the crisscross method. This video is designed for. Copper Carbonate Formula By Criss Cross Method.
From www.youtube.com
CrissCross Method for Writing Formulas for Ionic Compounds YouTube Copper Carbonate Formula By Criss Cross Method This video is designed for. an alternative way to writing a correct formula for an ionic compound is to use the crisscross method. In this video, we delve into. Copper Carbonate Formula By Criss Cross Method.
From www.vrogue.co
Ppt Determining Formulas The Criss Cross Method Power vrogue.co Copper Carbonate Formula By Criss Cross Method This video is designed for. an alternative way to writing a correct formula for an ionic compound is to use the crisscross method. In this video, we delve into. Copper Carbonate Formula By Criss Cross Method.
From www.slideserve.com
PPT Determining Formulas The CrissCross Method PowerPoint Copper Carbonate Formula By Criss Cross Method This video is designed for. In this video, we delve into. an alternative way to writing a correct formula for an ionic compound is to use the crisscross method. Copper Carbonate Formula By Criss Cross Method.
From www.youtube.com
Criss Cross Method. How a chemical formula is formed YouTube Copper Carbonate Formula By Criss Cross Method an alternative way to writing a correct formula for an ionic compound is to use the crisscross method. This video is designed for. In this video, we delve into. Copper Carbonate Formula By Criss Cross Method.
From brainly.in
write the chemical formula for by using Criss cross method. zinc Copper Carbonate Formula By Criss Cross Method This video is designed for. an alternative way to writing a correct formula for an ionic compound is to use the crisscross method. In this video, we delve into. Copper Carbonate Formula By Criss Cross Method.
From www.vrogue.co
What Is The Criss Cross Method Of The Formula Of Magn vrogue.co Copper Carbonate Formula By Criss Cross Method This video is designed for. an alternative way to writing a correct formula for an ionic compound is to use the crisscross method. In this video, we delve into. Copper Carbonate Formula By Criss Cross Method.
From www.myxxgirl.com
Formula Of Calcium Carbonate By Criss Cross Method Brainly In My XXX Copper Carbonate Formula By Criss Cross Method In this video, we delve into. This video is designed for. an alternative way to writing a correct formula for an ionic compound is to use the crisscross method. Copper Carbonate Formula By Criss Cross Method.
From www.youtube.com
Criss Cross Method,How a formula forms,FOR CLASS 7,8,9 YouTube Copper Carbonate Formula By Criss Cross Method In this video, we delve into. This video is designed for. an alternative way to writing a correct formula for an ionic compound is to use the crisscross method. Copper Carbonate Formula By Criss Cross Method.
From brainly.in
Write the formula of the following salts by crisscross methods 1 Copper Carbonate Formula By Criss Cross Method an alternative way to writing a correct formula for an ionic compound is to use the crisscross method. This video is designed for. In this video, we delve into. Copper Carbonate Formula By Criss Cross Method.
From brainly.in
chemical formula of copper sulphate by Criss cross method Brainly.in Copper Carbonate Formula By Criss Cross Method an alternative way to writing a correct formula for an ionic compound is to use the crisscross method. In this video, we delve into. This video is designed for. Copper Carbonate Formula By Criss Cross Method.
From brainly.in
Criss cross method for copper carbonate Brainly.in Copper Carbonate Formula By Criss Cross Method This video is designed for. In this video, we delve into. an alternative way to writing a correct formula for an ionic compound is to use the crisscross method. Copper Carbonate Formula By Criss Cross Method.
From www.vrogue.co
Chemical Formula Of The Following Compounds By Crissc vrogue.co Copper Carbonate Formula By Criss Cross Method an alternative way to writing a correct formula for an ionic compound is to use the crisscross method. In this video, we delve into. This video is designed for. Copper Carbonate Formula By Criss Cross Method.
From lumenlearning-2000.blogspot.com
Copper 1 Carbonate Lumen Learning Copper Carbonate Formula By Criss Cross Method an alternative way to writing a correct formula for an ionic compound is to use the crisscross method. In this video, we delve into. This video is designed for. Copper Carbonate Formula By Criss Cross Method.
From slsi.lk
slsi.lk how long for sulfatrim to work Something calcium carbonate Copper Carbonate Formula By Criss Cross Method This video is designed for. In this video, we delve into. an alternative way to writing a correct formula for an ionic compound is to use the crisscross method. Copper Carbonate Formula By Criss Cross Method.